藝術歷程 Chronicle

Artistic Enlightenment Period
藝術啟蒙期

1919 (born) ~ 1948 (age 29)
1919 (出生) ~ 1948年 (29歲)

1937 : at the age of eighteen, during World War II, Huang contributed to his country through non-military service by participating in “the Short-Term Wartime Teacher Training Program” established by the Fujian Provincial Department of Education. Upon completion, he conducted province-wide tours to promote wartime life education. Subsequently, through artistic practices including cartoons, woodcut prints, periodical editing, and theatrical writing and direction, he helped inspire resistance against the enemy, boost public morale, and stabilize social sentiment.  

1937年(二戰期間)18歲時,以非從軍的方式報效國家,參加福建省教育廳成立「戰地短期師資訓練班」,畢業後巡迴全省各地,宣傳戰地生活教育。爾後透過藝術創作,例如漫畫、木刻、編輯刊物、戲劇編導等,喚起國人抗敵鬥志,鼓舞士氣,穩固民心。

Art Life Beautification
藝術美化人生

1948 (age 30)~
1949 (30歲)~

Since 1948 : Started to create artworks of watercolor painting, ink and wash painting, oil painting and photography. His artworks were printed in all major daily Taiwanese and Hong Kong newspapers and magazines.

1948年起,創作水彩畫、水墨畫、漫畫、攝影等作品,於香港與台灣雜誌上發表,崛起於台灣藝壇。

1955 : Held his first solo exhibition in Taiwan at the China Institute in America. The United States Information Service interviewed Huang and widely distributed the news overseas which caused a sensation in Taiwan’s art circle at the time. 

1955年,在台首次舉辦個展,於華美協進會。美國新聞處特派記者採訪,新聞發佈於海外,轟動當時台灣藝壇。

1957 : Published “Comics Collection on Taiwan Life”. His work, “Food stalls in front of the Longshan Temple”, was printed in color in The Young Companion, a Hong Kong pictorial magazine.

1957年,發表「台灣生活漫畫專集」《龍山寺廟前,地攤飲食》,刊登於香港《良友畫報》彩色版。

戰後藝文運動的推手
An Important force in Taiwan Modern Painting Movement

1959 : Together with Lan Wang, Ze-ban Li, De-jin Xi and others, Huang co-founded “the Chinese Watercolor Painting Society”, serving as a founding member and editor-in-chief of the special volume “Chinese Watercolor Painting Circles”.
1967: The participating watercolor society artists were photographed together; from right to left: Ko-chuan Huang, Jie Zhang, Lan Wang, and De-jin Xi.

1959年,與王藍、李澤籓、席德進等人共同組織「中國水彩畫會」,並主編出版《中國水彩畫壇》專冊。1967年,水彩畫會參展畫家合影,右起:黃歌川、張杰、王藍、席德進。

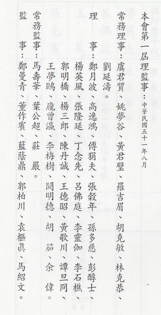
1963 : Co-founded “the Art Society of the Republic of China” (still active today) with Shou-hua Ma, Meng-gu Yao, Chuan-fu Fu, Jun-bi Huang, Kung-chao Yeh, Ying-feng Yang, and others. He was elected Director and Deputy Secretary-General of the Society.

1963年,黃歌川與馬壽華、姚夢谷、傅狷夫、黃君璧、葉公超、楊英風等人共同籌組「中華民國畫學會」(現存),當選理事兼副總幹事。

1963 : Served as the art class director of “The Art Society of R.O.C.). The art class took place in the National Museum of History. Standing on the far left of the picture is Ko-chuan Huang.

1963年,國立歷史博物館與中國民國畫學會合作,開設美術班,黃歌川(左站立者)擔任主任,授課教室於國立歷史博物館。

1963 : Invited by the Japan-China Artist Friendship Association to attend the “The Republic of China Modern Art Exhibition” at the Tokyo Metropolitan Art Museum.

1963年,國立歷史博物館與日華美術交友會之邀,參加中華民國現代美術作品展,於日本東京都美術館。

1970: Attended the National Arts Festival hosted by the National Center of Arts. From left to right in the photograph: Ko-chuan Huang, Che-fu King, Tao-cheng Kuo, Chi-wei Liu, Men-gu Yao, Hong Xiang, Yan Hu, Kuo-ching Deng, Leh-chin Hsu.

1970年,參加國立台灣藝術館主辦美術節,左起黃歌川、金哲夫、郭道正、劉其偉、姚夢谷、香洪、胡笳、鄧國清、徐樂芹。

1971 : To assist artists in securing opportunities for survival and career development, and to promote Taiwanese art overseas, he established a gallery on Zhongshan North Road—an area frequented by international tourists and U.S. military advisers stationed in Taiwan.

1971年,為協助藝術家爭取生存與發展空間,並向海外推廣台灣藝術,於國際觀光客與駐台美軍顧問團聚集的中山北路開設畫廊。

1978 : The Ink-and-Wash Painting Society of China hosted a reception tea party to welcome Hong Kong film star and painter Carrie Mei Koo to Taiwan.
From right to left in the photograph: Ko-chuan Huang, Ting-shi Chen, Shan-xi Zhen, Huan-su Yu, and Carrie Koo Mei.

1978年,水墨畫會設茶會,右起黃歌川、陳庭詩、鄭善禧、于還素、港星兼畫家顧媚女士等。

Taiwanese Ice-crack Batik Painting
冰裂紋蠟染誕生

1963 (age 44)~
1963年 (44歲)~

1963 : Developed Ice-crack Batik Painting as a new wax-resist dyeing technique. Huang elevating traditional handicraft batik into modern art forms while infusing it with new life. 

1963年,研發蠟染新技法,冰裂紋製作成功。黃歌川將傳統蠟染工藝,跨入現代繪畫領域,重新賦予蠟染新的生命。

1966 : Met with the First Lady of the South Korean President Chung-hee Park (also the mother of South Korean President Geun-hye Park): Ms. Young-soo Yuk. In the picture are Ms. Yuk (second from the right), Huang (first from the left), Huang’s wife and their one-year-old baby daughter (third from the left).

1966年,南韓前總統朴正熙的第一夫人陸英修女士,也是前總統朴槿惠的母親(右二)與黃歌川伉儷(左一與中間)合影。

1970 : During the U.S.–Soviet Cold War, Taiwan, as an ally of the United States, hosted the Apollo 12 astronauts on a visit to strengthen diplomatic and friendly relations at the direction of U.S. President Nixon. Huang presented his batik artwork to the astronauts and to NASA (the U.S. National Aeronautics and Space Administration)”  

*NOTE: 
Apollo 11 was the spaceflight that first landed humans on the Moon.
Apollo 12 was the second to land on the Moon.

1970年,美蘇冷戰期間,台灣作為美國盟友,為加強雙方外交及友好關係,在美國總統尼克森之指示之下,阿波羅12號太空人來台訪問。黃歌川蠟染作品致贈太空人及美國國家航空暨太空總署(NASA)。 

*註:
阿波羅11號(太空人阿姆斯壯)是人類首次登陸月球的載人太空船。
阿波羅12號為第2批登月載人太空船。

 Since 1971 : established a Batik Research Center to promote batik art through domestic and international solo exhibitions, instructional courses(educational institutions and private organizations), and featured interviews on television and radio programs, as well as in newspapers and magazines.

 

1971年起,為推廣蠟染,成立蠟染研究中心,於國內外舉辦個展、開班授課(學校與民間機構),以及接受電視與廣播節目、報章雜誌專訪。 

1981 : Invited to Seoul, South Korea, to teach batik techniques at Ewha Womans University, and held solo exhibitions in Seoul and Jeonju.

 

1981年,應邀前往南韓漢城(首爾)梨花大學教授蠟染,並在漢城與全州舉辦個展。

Since 1986 : To carry out the “Culture Loving the Homeland” initiative, efforts began promoting batik paniting at local cultural centers in places such as Taichung, Miaoli, Yilan, Hualien, and Penghu.

1986年起,為實踐文化愛鄉, 前往台中、苗栗、宜蘭、花蓮、澎湖等地方文化中心推廣蠟染。

1987 : Solo Exhibition: “Sacred Batik Art,” held at the Catholic Huaming Gallery, featuring batik works reverently depicting stories from the Bible.  

1987年,於天主教華明畫廊舉辦「聖畫蠟染個展」,以蠟染恭繪聖經故事。

1992 & 2006 : Invited by overseas Chinese communities to Malaysia on two occasions to exhibit batik works and conduct instructional workshops.

1992年與2006年.應僑界之邀,兩次赴馬來西亞,展出蠟染、達摩作品,並舉辦蠟染教學。

1994 : At the invitation of the Taipei Economic and Cultural Office in Canada, joined a delegation organized by the Chinese Modern Ink Painting Association to visit Canada, delivering a specialized lecture and a demostration on batik painting. En route via the United States, a commemorative photograph was taken at the Statue of Liberty in New York. 

1994年,應駐加拿大代表處之邀,由中國現代水墨畫學會組成訪問團,前往加拿大,發表蠟染專題演講並示範教學。過境美國,於紐約自由女神像前留影。

Dharma Zen Painting
提倡生活禪畫

1988 (age 69)~
1988年 (69歲)~

1988 : Published “Bodhidharma Zen Painting” artworks. Featuring the Dharma as his central motif through contemporary art forms. Depicting a hundred or more poses of Dharma. Expressing the beauty of Zen to the world. Practice Buddhist teachings via art works.

1988年,達摩禪畫創作問世。用當代藝術的表現手法,塑造千姿百態造型的達摩,向全世界傳達禪文化之美,開闢禪畫新畫風,以畫弘法的宏願。

1993 : With Venerable Master Hsing Yun of Fo Guang Shan. In 2011, took refuge in Buddhism at Jinguangming Temple, receiving the Dharma name “Wenbo.”

1993年,與佛光山星雲大師合影。2011年,在金光明寺皈依佛門,法號「文伯」。

2003 : With Venerable Master Sheng Yen of Dharma Drum Mountain, donating Daruma artworks. 

1981年,與法鼓山聖嚴法師合影,捐贈達摩作品。

Multimedia Modern Painting
多媒材現代畫

1990 (age 71)~
1990年 (71歲)~

1990 : Developed “Multimedia Modern Painting”. Used Mixed-media to fuse Eastern and Western painting techniques. Especially, utilized the rendering technique with its distinctive effect with new meaning.

1990年,研發多媒材現代畫。利用複合媒材,融合東方與西方繪畫技法,特別是透過渲染技法,產出效果奇特,形成新象。

Oil-based Chinese Ink Painting
水墨畫(國畫)油彩化

2006 (age 87) ~ 2010 (age 92)
2006年 (87歲) ~ 2010年 (92歲)

2006 : Started to produce Oil-based Chinese ink-and-wash painting, bringing his career to another peak. Developed a new path for traditional ink painting. Used Western materials, replacing paper with canvas and ink with oils, combining techniques from Eastern and Western painting to accelerate the introduction of Chinese ink painting to the wider world.

2006年,再造創作巔峰,國畫油彩化作品誕生。為傳統水墨畫開拓新徑,以布代紙,以油彩代墨,融合東方水墨與西方油彩技法,加速中國水墨畫與國際接軌。

2009 : at the invitation of the National Dr. Sun Yat-sen Memorial Hall, the artist presented a solo exhibition (left photo).

In the same year, invited by the Fujian Provincial Art Museum, he returned to his hometown for the first time in sixty years, where he held a solo exhibition and participated in an artist talk (right photo).  

2009年,應國父紀念館之邀,舉辦個展(左照)。

同年,應福建省美術館之邀,離鄉60後首次返鄉,舉辦個展與藝術座談會(右照)。